Mathematics Proves That Building Fewer Roads Can Reduce Traffic Jams
Harin - Feb 20, 2020
Mathematics proves that building fewer roads can actually reduce traffic congestion. Keep on reading to find out why and how.
- A Math Formula Tells Us How Long Everything Will Live
- Shakuntala Devi Awarded Guinness World Records’ Fastest Human Computation Certificate After 40 Years
- This Magical Number Will Help You Find A Parking Space, The Perfect Apartment, And Even A Suitable Spouse
You might not believe it but building fewer roads can actually reduce traffic congestion. Here are some examples.
In April 1990, during Earth Day, the authority of New York City decided to close the 42nd street which was an extremely busy crosstown road. This decision was expected to lead to a traffic nightmare. But that actually didn’t happen. Instead, an article in The New York Times reported that the traffic flow actually improved.
In 2003, in Seoul, the restoration project of the Cheonggyecheon stream began, removing a highway with six lanes. The project was completed in 2005. And besides having substantial environmental benefits, the project also helped speed up the traffic around the city.

If closing roads can improve traffic flow, expanding a road network can have negative effects as well. For example, in the late 1960s, Stuttgart city decided to alleviate the traffic in downtown by opening a new street. Instead, traffic congestion happened more frequently. And in the end, the authorities needed to close the street.
There are a lot of stories like this and some mathematics is behind them all. In 1968, Dietrich Braess, a mathematician from the Institute for Numerical And Applied Mathematics, Münster, Germany actually proved that when adding an additional road to a road network could cause a flow redistribution, leading to an increase in the travel time. In his work, the mathematician presumed that the drivers would act selfishly with each of them just chose a route that suite thair own benefit and didn’t care about other drivers. It is actually an assumption that reflects really well rush hour traffic.

This phenomenon, called the Braess paradox, isn’t really a paradox. Instead, it is just unexpected behavior which shows that we aren’t prepared to predict collective interactions’ outcomes.
The Cheonggyencheon stream project and the closing of 42nd street are reverse examples of this Braess paradox where removing one or more roads leads to the improvement of the travel time in a road network.
Do you still feel skeptical about all this? We will use math to help you understand better.
The image below shows a road network connecting locations A and B.

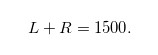
At rush hour, for every hour, there are 1,500 cars enter the network from A. Driver then choose between two routes. With route 1, drivers will cross the bridge a. With route 2, drivers will cross bridge b.
We have L for the number of cars that arrive via route 1 at B every hour and R for the number of cars arriving via route 2 at B every hour.
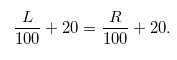
The bridges are the culprit for the slow down of traffic. Here we will assume that the travel time for both bridges is in proportion to the number of cars for every hour or the flow of cars. We suppose that the travel time for the bridge a is
and for bridge b is
. Both routes have fairly large roads. Each road has a travel time of 20 mins.
We want to understand the expected traffic distribution. And that is how many cars are there on each route in an hour. We imagine here that each driver has already driven many times through the network. It is similar to someone who drives at rush hour every day and has already had a particular strategy. This is called minimizing travel time. And with this assumption, all drivers must have the same travel time. Otherwise, some of the drivers would have to change their plan. This is called Nash equilibrium which is named after mathematician John F. Nash, a Nobel laureate. One of his many contributions was the analysis of non-cooperative games.
To maintain a Nash equilibrium which is dynamic, it requires to be fed. And in this case, we need to feed it with the cars entering the network from A in every hour. With everybody having the same travel time suggests that at equilibrium, everyone is equal. But here, we also have presumed that each driver will try to decrease their travel time without caring about other drivers’ interests. In other words, the decisions of all the drivers will influence each driver.
Now, for each route, the travel time in mins is
At equilibrium, we have:

The number of cars we call L and R need to be equivalent to the incoming flow.

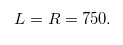
Solving these two equations, we have:

So, the traffic is even between route 1 and route 2, with 27.5 minutes of travel time.
Now, we assume that there is a super-fast crossroad called c with a travel time of 7 minutes.

Will the travel time be decreased with the addition of this crossroad?
Drivers now have three routes to choose from. We still have L as the flow of cars that arrive at B through route 1 and R as the flow of cars that leave A through route 2. And for route c, we have C for the flow of cars. The number of cars that go through the bridge every hour must be L + C. And the number of cars that go through bridge b every hour must be R + C. Now we have the travel time for each route.

Again, what we need to do is find the traffic distribution between route 1, route 2, and route 3.
As before, we have the same travel time for all drivers. At equilibrium, what we have is:

We now have two equations like below:

We also have:

From these three equations, we can find L, R, C and the travel time of all drivers:

So what actually happened? Well, the superfast new road was too tempting for many drivers, leading to bad congestion, thus affecting the whole network’s performance. In other words, it is the selfish behavior of each driver that influences the network’s efficiency. If the drivers completely avoid route c, the travel time will go down. And this option is similar to when a cooperative strategy is adopted in which drivers are split between the two first routes. The new travel time which is 33 minutes shows an increase of 20% from the previous time. That is exactly why building fewer roads can reduce traffic congestion.
>>> Mathematics Might Hold The Key To Solve Traffic Congestion In India
Featured Stories
Features - Jan 29, 2026
Permanently Deleting Your Instagram Account: A Complete Step-by-Step Tutorial
Features - Jul 01, 2025
What Are The Fastest Passenger Vehicles Ever Created?
Features - Jun 25, 2025
Japan Hydrogen Breakthrough: Scientists Crack the Clean Energy Code with...
ICT News - Jun 25, 2025
AI Intimidation Tactics: CEOs Turn Flawed Technology Into Employee Fear Machine
Review - Jun 25, 2025
Windows 11 Problems: Is Microsoft's "Best" OS Actually Getting Worse?
Features - Jun 22, 2025
Telegram Founder Pavel Durov Plans to Split $14 Billion Fortune Among 106 Children
ICT News - Jun 22, 2025
Neuralink Telepathy Chip Enables Quadriplegic Rob Greiner to Control Games with...
Features - Jun 21, 2025
This Over $100 Bottle Has Nothing But Fresh Air Inside
Features - Jun 18, 2025
Best Mobile VPN Apps for Gaming 2025: Complete Guide
Features - Jun 18, 2025
A Math Formula Tells Us How Long Everything Will Live
Read more
ICT News- Feb 13, 2026
Elon Musk Pivots: SpaceX Prioritizes Lunar Metropolis Over Martian Colony
While Mars enthusiasts may feel a temporary setback, the lunar focus could ultimately fortify humanity's multi-planetary future.
Mobile- Feb 12, 2026
What is the Most Powerful Gaming Phone Currently?
The Nubia Red Magic 11 Pro is the undisputed most powerful gaming phone right now, blending record-breaking benchmarks, unbeatable cooling, and gamer-centric design for peak performance that lasts.
Mobile- Feb 11, 2026
Top 5 Cheap and Efficient Gaming Phones in 2026
These phones prove you don't need $1000+ for efficient gaming. The RedMagic 11 Air leads for pure power, while POCO options win on value.
Comments
Sort by Newest | Popular